第三章:死锁资源分配图
小插曲:也是关于死锁的一个题目

做题原则:分配大于请求(包括进程本身自己也得遵守这个规则)
资源指向进程,是分配
进程指向资源,是请求
一句话:先把资源都分配了,再看我们进程想要的资源能否得到
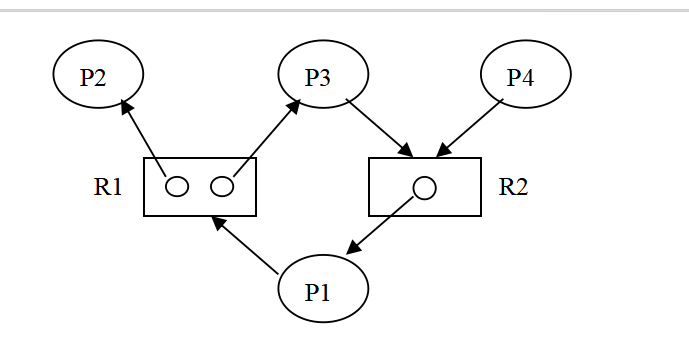
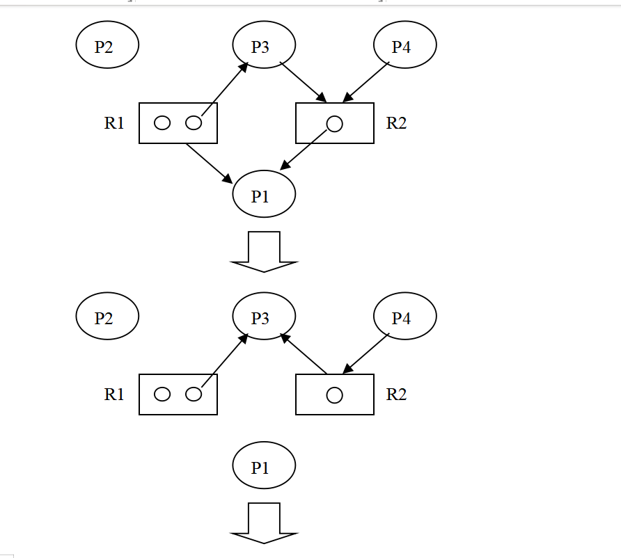
例一

我们先分析线少的:对于P2来说,P2有一个,而且这个还是资源分配,一定可以删除
接着再看P1:P1先获得了R2,接着P1想请求R1,但是R1必须先给P3,此时还剩下一个R1,说明P1也可以删除

接着再看P3:R1给一个,R2给一个,那么P3直接高枕无忧了,随便去
最后P4,它就想要一个R2,而且也没有人和它抢,自然可以删除

例二

我们先看P4:先获得R5,R4,这个是符合我们的优先分配的规则,之后再看P4能否请求到R3;R3给了P5一个,但是还剩下一个,所以P4可以走

我们再看P5:先获得R3,再请求R5的时候没有人抢,自然P5也可以走了

再看P3:R2给了P2,P3,这就导致P3再请求R2的时候,无法请求到,所以P3走不了
再看P2:R2给了P2,P2想要R1的时候,R1已经全部给了P1,无法请求到,所以P2走不了
再看P1:R1给了P1,R2给了P2和P3,所以P1想要R2的时候,无法请求到,所以P1走不了
第三章:银行家算法 计算当前可用资源量写出全部进程的所需资源量 (MAX-Allocation=Need数组)满足条件的,删除进程并且加上对其分配的资源量(不是加Max)(我们加的 本质上就是计算Need数组时候的被减数!)循环上述步骤写安全序列的时候,遇到多个进程可删时,尽量满足从小到大或者从大到小的基本顺序走

要点:
1.计算出我们拥有的可用资源
2.可用资源和每个进程的所需资源进行比较,不是和Max资源比较,而是和Max-Allocation进行比较(换句话讲,就是已经分配给一部分了)
3.我们回收资源的时候,一定是 Need + Allocation 数组才可以 而不是 Need + Available 数组 这样就大错特错了
而且要点三是最容易出问题的,有时候算的算的就走火入魔了! 上一个加的还是已分配资源量,下一个加的就是所需资源总量了
第四章:进程的同步与互斥 做题步骤 排列进程分析进程自身与进程之间的关系建立信号量对应某种资源只要需要访问临界区,就得上锁!前V后P 前后都指的是事件!
关于变量的初值:
信号量的初值为n,表示系统中共有n个资源
mutex的初值为n,表示临界资源共有n个
如果需要互斥访问临界区,那么需要互斥信号量=1
如果信号量小于0,那么信号量的绝对值就是当前阻塞队列当中进程的个数
关于书写方法:
写函数–>写动作–>观察是同步还是互斥书写PV操作
对我来说判断进程同步或者互斥的方法:

对于生产者消费者来说,是进程同步,因为如果发生阻塞的话,只要有生产,就可以唤醒消费,这就是同步
对于读者写着来说,是进程互斥,但是有争议的地方就是,当只有一个读者的时候,如果此时写者来了,被阻塞,读者走后,看起来就像是读者唤醒的写者,二者不能说是一点同步关系也没有,间接来讲肯定是有的。现在我们看一种情况:如果有5个读者进程正在读取文件,又来了一个写者,写者被阻塞,此时走1个走2个走3个读者并不会唤醒写者,而是只有最后一个读者走了才可以唤醒写者,所以这并不是进程同步,而是进程互斥访问文件临界资源的体现(回看的时候,还得是我自己能给我解决问题啊!)
因为我分析同步的时候喜欢用前V后P,所以就有一种误区是只要可以用只有…才…就是进程同步,实则不然,二者没有必然联系
思考进程同步的时候,多考虑考虑极端情况,比如缓冲区为空,缓冲区为满,缓冲区为一个三种情况必须全部考虑清楚才可以答对题目
解题步骤:
注意事项:
PV操作的代码

小心容易和读者写者混

1.交通问题(类似读者写者)
有桥如下图所示,车流方向如箭头所示。
假设桥上不允许两车交会,但允许同方向多辆车依次通过(即桥上可有多个相同方向行驶的车辆),试用wait和signal操作实现桥上的交通管理

分析
这个俩个互斥的问题,临界资源是我们的桥,一次只可以由一边通过,之前我有误区,我认为这个也存在同步关系,实则不然,二者完全是对临界资源的互斥访问,假设车向右走的时候,左车来了被阻塞,当右车走完左车被唤醒,这个看起来是右车唤醒的左车(我刚开始理解的),但是后来其实是右车将互斥资源放出来了,左车等的只是资源,和右车没有直接关系(间接多多少少有点,但不是同步)
这个题麻烦就麻烦在:左车和左车进程不互相阻塞,但是左车在的时候右车不可以来;反之

所以这样是解决不了问题的,我们必须引入count变量,而且还得小心这个代码书过程中的进程阻塞问题(小心写反)
但是上面这个代码的意思是:每次只能有一辆车行驶
代码
经过分析,不难写下以下代码:

这段代码是有死锁风险的!
尹老师回复如下:当左边车正在行走的时候,right第一个车来了,那么会阻塞在p(bridge_mutex),但是这个时候,mutex的值变成了0,左边车本来明明可以进去的,现在也被阻塞了,所以俩个mutex必须搞成不一样的才对!
为什么左右的第一行要用不同的mutex?
原因一:这俩个mutex的本质作用就是保护count变量,俩边的count不同,怎么可以用相同的mutex变量来互斥访问count?
原因二:会出现死锁!
信号量的初始值:
semaphore count_left=0;//通过左边汽车的数量
semaphore count_right=0;//右边汽车
semaphore left_mutex=1;//保护count left
semaphore right_mutex=1;
semaphore bridge_mutex=1;//临界资源 桥
标准答案:

void left()
{
p(left_mutex);
if(count_left==0) p(bridge_mutex);
count_left++;
v(left_mutex);
//过桥
p(left_mutex);
count_left--;
if(count_left==0) v(bridge_mutex);
v(left_mutex);
}
void right()
{
p(right_mutex);
if(count_right==0) p(bridge_mutex);
count_right++;
v(right_mutex);
//过桥
p(right_mutex);
count_right--;
if(count_right==0) v(bridge_mutex);
v(right_mutex);
}
2.缓冲区问题(第二个缓冲区是复制缓冲区)(答案看下面的.19)
用wait、signal操作解决下图之同步问题提示:分别考虑对缓冲区S和T的同步,再合并考虑

分析
这不妥妥的进程同步,而且进程同步的代码有个特点,就是对于一个信号量来说PV操作交叉
我认为这个题的难点在于==初始值的大小,不可以一味的全部设置为1,得分析后再得出结论==
而且容易想的简单,因为复制缓冲区进行的动作本质上是俩个!
代码
初始变量赋值:
semaphore sin=1;
semaphore sout=0;
semaphore tin=1;
semaphore tout=0;
为什么我感觉这种方法没有很好的保护process缓冲区呢??

semaphore sin=1;
semaphore sout=0;
semaphore tin=1;
semaphore tout=0;
semaphore mutex=1;
void p(semaphore a)
{
}
void v(semaphore a)
{
}
void get()
{
p(sin);
//写入S
v(sout);
}
void process()
{
p(sout);
//放入局部缓冲
v(sin);
//处理ing
p(tin);
//给出去
v(tout);
}
void put()
{
p(tout);
//取走
v(tin);
}
3.售票员问题(生产者消费者)(好好吃透,进程同步不在话下)
为保证车辆行驶安全,售票员必须关好车门,然后通知司机启动车辆,在行驶过程中售票员不能打开车门
待车到站停稳后,司机通知售票员才能打开车门,如此不断重复。
分析
由于售票员关门,司机就可以开车;司机停下,售票员就可以开门,一对一直接可以影响不需要等到最后一个,所以这是同步关系
为此,须设置两个信号量S1,S2用来控制司机和售票员的行为,初值都为0
这个题的难点在于动作较多,能不能正确书写PV操作的位置,就必须使用我们的前V后P操作来书写:
只有停车才可以开门 只有关门才可以开车
则停车 v 开门 p 关门 v 开车 p
代码
初始值变量:
semaphore S1=0;
semaphore S2=0;
动作如下:


4.水果盘进餐问题
这个就是生产者消费者同步问题,而且临界资源大小为1,所以不需要加mutex(加上肯定不错)


5.水果盘进餐拓展(见下面课后题20) 6.仓库入库出库问题


7.缓冲区问题 (1)尹老师单缓冲区但中间需要处理问题(三个信号量)
尹老师的这个单缓冲区内部还得对信息进行处理,否则无法被打印进程给取走的!

semaphore Sget=1;
semaphore Sprocess=0;
semaphore Stransfer=0;

(2)课本单缓冲区,但缓冲区不需要处理(俩个信号量)

(3)双缓冲区问题(本质上是俩个单缓冲区)(四个信号量)
为什么我突然想把这三个整合在一起呢? 是因为我发现双缓冲区的第三个进程的最后生成的变量,与进程一无关,不禁让我引起思考:很明显,双缓冲区实则上是俩个单缓冲区的结合,最后一个进程和第一个进程并没有了直接的关系

课后习题讲解 16.生产偶数奇数问题(只要有操作访问临界区,就得上锁之后解锁)

分析
N个单元,那么mutex初始值为N
而且题目上也说,互斥使用!缓冲区是临界资源,想要互斥访问,就得写一个互斥信号量mutex=1,临界资源就必须得互斥访问!!!
put()送入缓冲区,表明put前后需要加上互斥信号量,因为是访问临界区
P2:getodd()countodd()都是在访问缓冲区,所以必须上锁
P3:geteven也是在缓冲区内,counteven统计偶数,缓冲区统计
本质上就是生产者消费者,有点像水果盘子一个父亲既给苹果又给橘子
注意我们这个时候已经没有了full变量,而是拆分成了俩个
代码

总结
这个if else写的很妙 考试考出来一定得多加思考
你比如 题上和你说 我从缓冲区拿数字啦 统计数字啦 等等 就得把这些操作都放在锁里 这个是我最想说的心得!!!!!!!
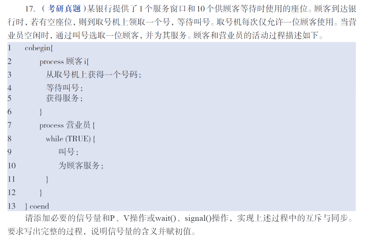
17.销售服务问题(我认为最难的一道)
咬文嚼字:1个服务窗口 10个座位(seat=10)有空座位 则取号(取号时一次只有一个人 )
取号机是临界资源 seatnumber=1 互斥访问
一个同步关系:当营业员空闲 则叫顾客

分析
寻找互斥(某个东西竞争使用)和同步(有一定的执行顺序)的关系:
取号机的使用是互斥
顾客取到号通知营业员是同步
营业员叫号顾客是同步
将俩个进程都写出来,对比着写,会更清楚一点
只有取到号,才可以叫号 这是一个同步关系 但是它为了简单,并没有写只有叫号才可以有顾客来这个操作,是为了简化
但是不知道为什么 它即使写出一个同步 也感觉非常的合理 这就是有点疑惑的地方 让我不经怀疑 是不是只有本身就是只有一个同步
和尹老师交流完之后,老师说这个题没有写成俩个同步,本意就是想要简化一下,只要逻辑通顺就是最好了
代码
信号量的设置:
numget换成mutex也可以,因为只有一个人可以取号,是互斥信号量
seat是互斥信号量
custom是同步信号量,设置初始值为0(只有当取完号后,才可以通知营业员可以叫人了)
座位少了一个,人才可以多一个
人被叫走了,座位才可以多一个
取号 v(custom) p(custom) 叫号

总结
关于座位和顾客的关系,就像盘子和苹果的问题,如果盘子中有苹果和橘子,那么我想访问盘子资源,那就是p(plate),当我拿走苹果之后,就是v(apple),盘子的数量减一,那么苹果的数量加一,并不是说PV是同一种资源,是俩种不同的资源,但是二者也会有关系
在这个题也是一样,empty和full是俩个不同的资源,能写成PV操作,正是因为少一个空的座位,就多一个顾客这样的逻辑
18.单缓冲区问题(easy,但得注意答案格式)


19.令我痛彻心扉的缓冲区问题

分析

从分析缓冲区的箭头来说,一共有三个箭头,我就误以为需要三个信号量,但是再看看进程这边,发现是俩个信息,所以本质上我们需要的信号量是俩组
对于缓冲区1来说,P1生产,P2消费
对于缓冲区2来说,P2生产,P3消费
正是因为P2既是生产者又是消费者,所以内部代码才应该有俩组进程存在
而且缓冲区1和缓冲区2只可以存放一个记录,所以不需要mutex来保证临界资源的互斥,empty和full最大值不超过1就可以保证了
代码
信号量的初始化:
我们需要empty1=1,full1=0,empty2=1,full2=0
注意:P2进程的俩个P操作不可以颠倒,否则一定会死锁的,我们接收的是P1来的数据,所以一定得先p(full1)才可以,表明收到了P1发来的数据

总结
本质上是俩组生产者消费者问题,注意好信号量的取值和pv操作的顺序即可
而且我感觉第二个缓冲区写出俩个P 再写俩个V 这样是为了更好的保护缓冲区2
20.可以放下五个水果的水果盘子问题

咬文嚼字:5个水果 plate=5;盘子是临界资源 mutex=1;
分析
这个题本质上和16题是一样样的,消费者给生产者提供的是empty,但是由于消费者有俩个,所以生产者不可以单纯的提供一个full,而是通过if判断
而且由于此时水果盘是临界资源,所以我们需要加上mutex来进行互斥访问才可以的
代码
信号量初始值:
semaphore empty=5,orange=0,apple=0,mutex=1;

拓展:如果妈妈进程负责生产橘子的话


总结
本题是生产者-消费者问题的变形,相当于一个能生产两种产品的生产者(爸爸)向两个消费者(儿子和女儿)提供产品的同步问题,因此,须设置两个不同的full信号量apple和orange,它们的初值均为0。
而且水果盘可以放几个水果,就直接修改empty的值就可以了!
21.不会发生死锁的哲学家进餐问题
标准答案是采用了方法一:只允许四个哲学家同时进来拿筷子
设置一个SUM=4的值,给哲学家进餐代码前后加上 P(SUM) 和 V(SUM)即可!
诶哟 我服了 尹老师强调不可以多一个筷子 幸好听到了 要不然就寄了
考试真题汇总 三个进程既是生产者又是消费者(未知年份)(难度五个星)





第四章:实时调度
LLF 和 EDF一共有俩个调度时机

第五章:利用逻辑地址计算物理地址 做题步骤 画出页表的结构(页号 块号)用逻辑地址 页面大小(也就是我们的块大小) 得到结果 结果为页号 同时还有余数 余数为偏移量观察页表,看页号对应哪一个块号 使用块号*页面大小(即块大小)+偏移量 = 物理地址

1.计算页表中块号的位数 计算页号和页内地址(逻辑地址空间的格式)
首先必须声明一下,这都是逻辑的,和物理无关

前一部分为页号P,后一部分为位移量W,即页内地址
页号:页的数量
